User not logged in - login - register
Home Calendar Books School Tool Photo Gallery Message Boards Users Statistics Advertise Site Info
go to bottom | |
 Message Boards » » need help with tattoo idea Page [1] 2, Next  
aikimann
All American
900 Posts
user info
edit post

Ok, so I saw this tattoo online and I want make something similar, but I can't make the equations wrap in a circle in word without losing formatting. Tried pasting into photoshop and making it curve, but then it's warped.

And I don't care what all you haters say, this tattoo rocks.




[Edited on June 17, 2009 at 11:07 PM. Reason : ]

6/17/2009 10:59:52 PM

amac884
All American
25609 Posts
user info
edit post

6/17/2009 11:02:48 PM

Ragged
All American
23473 Posts
user info
edit post

no you wont get made fun of

[Edited on June 17, 2009 at 11:03 PM. Reason : ^we saw the first one. thanks]

6/17/2009 11:02:49 PM

qntmfred
retired
42179 Posts
user info
edit post

i like it!

V http://en.wikipedia.org/wiki/Schrödinger_equation durr

[Edited on June 17, 2009 at 11:06 PM. Reason : .]

6/17/2009 11:02:50 PM

aikimann
All American
900 Posts
user info
edit post

and props to those who actually figure out why it's such a cool tattoo

6/17/2009 11:03:33 PM

fleetwud
AmbitiousButRubbish
49751 Posts
user info
edit post

I need a translation por favor

6/17/2009 11:03:46 PM

simonn
best gottfriend
28968 Posts
user info
edit post

it's a little... pretentious, no?

6/17/2009 11:04:20 PM

aikimann
All American
900 Posts
user info
edit post

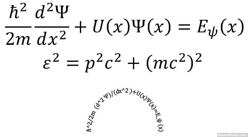
also, never mind the fact that the bottom equation on the guy's back is wrong. I actually plan on everything being correct.

6/17/2009 11:05:04 PM

ALkatraz
All American
11299 Posts
user info
edit post

Math tattoo.

6/17/2009 11:05:16 PM

JTMONEYNCSU
All American
24530 Posts
user info
edit post

THEYRE ALL GONNA LAUGH AT YOU

6/17/2009 11:05:52 PM

Mr Grace
All American
12412 Posts
user info
edit post

math never rocks


im sure there is an equation that demonstrates that. it could be what youre thinking of getting even for all i know


its like those chinese symbols bitches were getting 5 years ago.

6/17/2009 11:06:00 PM

Fry
The Stubby
7786 Posts
user info
edit post

don't use photoshop. use illustrator or inkscape; vector graphics FTW if you want to manipulate shapes and text like that.

6/17/2009 11:06:27 PM

aikimann
All American
900 Posts
user info
edit post

^ tried pasting the equation into illustrator but the fractions lose their formatting unfortunately

6/17/2009 11:07:49 PM

Mr Grace
All American
12412 Posts
user info
edit post

the gay math rainbow

6/17/2009 11:09:16 PM

aikimann
All American
900 Posts
user info
edit post

Quote :
"i like it!

V http://en.wikipedia.org/wiki/Schrödinger_equation durr

[Edited on June 17, 2009 at 11:06 PM. Reason : .]"


Almost, you're close. deeper than that

6/17/2009 11:10:01 PM

Republican18
All American
16575 Posts
user info
edit post

you must really love math n physics if ya want to tattoo it permanently to ya

6/17/2009 11:17:17 PM

aikimann
All American
900 Posts
user info
edit post

^ lol yes. two degrees in physics.

The tattoo speaks to the wave/particle duality and probabalistic nature of physics on a fundamental level, hence the ying yang.

>.< I know a bit geeky, but damn I love it.

(just hope some new scientific discovery doesn't render it incorrect )

6/17/2009 11:21:24 PM

qntmfred
retired
42179 Posts
user info
edit post

not as much as this guy

6/17/2009 11:21:31 PM

aikimann
All American
900 Posts
user info
edit post

^ ok that's just plain stupid

least the one I want is a bit more creative than a simple listing of equations

6/17/2009 11:24:34 PM

Jaybee1200
Suspended
56200 Posts
user info
edit post

http://www.dailymail.co.uk/news/worldnews/article-1193384/What-did-expect-Incredible-face-revealed-man-tattooed-girl-56-stars-asked-three.html

6/17/2009 11:24:55 PM

qntmfred
retired
42179 Posts
user info
edit post

^^ no, it's exactly the same concept

[Edited on June 17, 2009 at 11:26 PM. Reason : and if anything yours is less creative cus you stole it from the first dude]

6/17/2009 11:25:28 PM

aikimann
All American
900 Posts
user info
edit post

^^ hey now! no hijacking this thread =OP

[Edited on June 17, 2009 at 11:26 PM. Reason : ^^]

6/17/2009 11:25:36 PM

Joie
begonias is my boo
22491 Posts
user info
edit post

i have several ideas for my next (4th) tattoo...all of which are incredibly geeky.


youre in good company

6/17/2009 11:27:05 PM

aikimann
All American
900 Posts
user info
edit post

^ what have you got so far?

6/17/2009 11:27:58 PM

qntmfred
retired
42179 Posts
user info
edit post

a bunch of neat math/physics nerd tattoos

http://talklikeaphysicist.com/category/tuesday-physics-tattoos/


my next tattoo is gonna be some variation of the uncertainty principle, one side of the equation on each shoulder

[Edited on June 17, 2009 at 11:29 PM. Reason : .]

6/17/2009 11:28:21 PM

Jaybee1200
Suspended
56200 Posts
user info
edit post

she wants to have the evolution of man from monkey thing going up her left thigh until the last one is about to crawl into her poon

6/17/2009 11:29:15 PM

d7freestyler
Sup, Brahms
23935 Posts
user info
edit post

i've got a physics minor and a BS in mechanical engineering and i don't think i'm nerdy enough for these tats.

6/17/2009 11:30:52 PM

qntmfred
retired
42179 Posts
user info
edit post

oh this is awesome! i had the same bubble chamber photo on my twitter background <3



[Edited on June 17, 2009 at 11:36 PM. Reason : .]

6/17/2009 11:35:20 PM

Skack
All American
31140 Posts
user info
edit post



Here's one to let the world know you finished the 9th grade!

6/17/2009 11:36:46 PM

aikimann
All American
900 Posts
user info
edit post

^ lol geek fail

6/17/2009 11:37:26 PM

Joie
begonias is my boo
22491 Posts
user info
edit post

Quote :
"what have you got so far?"


ehe oh geeze.
ummm...the carbon atom model (monochrome) or the symbol of avogadro's number are my top two

fairly simple

[Edited on June 17, 2009 at 11:44 PM. Reason : dgrftgf]

6/17/2009 11:44:41 PM

Shadowrunner
All American
18332 Posts
user info
edit post

6/17/2009 11:46:16 PM

melanndelyn
All American
2119 Posts
user info
edit post

math, the new dolphin

6/17/2009 11:48:30 PM

not dnl
Suspended
13193 Posts
user info
edit post

those that live in glass houses should not throw stones

6/17/2009 11:49:18 PM

Tiberius
Suspended
7607 Posts
user info
edit post

^^^ hell yeah

6/17/2009 11:50:32 PM

Jaybee1200
Suspended
56200 Posts
user info
edit post

^^^ HAHAHAHAHAHAHAHA

best TWW post in about a year

[Edited on June 17, 2009 at 11:50 PM. Reason : d]

6/17/2009 11:50:36 PM

melanndelyn
All American
2119 Posts
user info
edit post

^^^not sure what you mean, maybe cause im dumb but...i acutally think its a COOL idea to get a baller math eq. tattooed. i, too, have a few tattoos and i LOVE them

[Edited on June 17, 2009 at 11:52 PM. Reason : NOTDNL]

6/17/2009 11:52:01 PM

Joie
begonias is my boo
22491 Posts
user info
edit post

Quote :
"math, the new dolphin butterfly"

6/17/2009 11:56:28 PM

melanndelyn
All American
2119 Posts
user info
edit post

oiswydt....

i was debating on whether or not to put butterfly or even "Chinese symbol" to being with, but i went with dolphin cause i LOATHE them most

[Edited on June 17, 2009 at 11:58 PM. Reason : yup]

6/17/2009 11:57:19 PM

GenghisJohn
bonafide
10284 Posts
user info
edit post

http://www.youtube.com/watch?v=XDS6UQpssSg

<object width="425" height="344"><param name="movie" value="http://www.youtube.com/v/XDS6UQpssSg&hl=en&fs=1&"></param><param name="allowFullScreen" value="true"></param><param name="allowscriptaccess" value="always"></param><embed src="http://www.youtube.com/v/XDS6UQpssSg&hl=en&fs=1&" type="application/x-shockwave-flash" allowscriptaccess="always" allowfullscreen="true" width="425" height="344"></embed></object>

embed plz

[Edited on June 17, 2009 at 11:58 PM. Reason : .]

6/17/2009 11:57:22 PM

zxappeal
All American
26828 Posts
user info
edit post

I'll totally go the math route if I ever get inked. Or perhaps something nice and simple like a Mobius loop.

6/17/2009 11:57:32 PM

Sweden
All American
12314 Posts
user info
edit post

i'm thinking about a chest plate of all the members of ELO

6/17/2009 11:58:07 PM

Jaybee1200
Suspended
56200 Posts
user info
edit post

I love me some ELO

6/17/2009 11:59:21 PM

d7freestyler
Sup, Brahms
23935 Posts
user info
edit post

i've always thought #s would make good tattoos. i have had a couple ideas involving them. they weren't equations though.

6/17/2009 11:59:30 PM

melanndelyn
All American
2119 Posts
user info
edit post

i read ELO with my eyes
but my brain perceived LFO and the lyrics "I like girls that wear Abercrombie and Fitch" came into my head...

frick

6/17/2009 11:59:55 PM

Sweden
All American
12314 Posts
user info
edit post

^^^ *daps*

6/18/2009 12:02:09 AM

Skack
All American
31140 Posts
user info
edit post

Quote :
"i've always thought #s would make good tattoos. i have had a couple ideas involving them. they weren't equations though."


You're going to get a 4:20 tattoo aren't you?

6/18/2009 12:05:43 AM

GenghisJohn
bonafide
10284 Posts
user info
edit post

goddammit embed plz

6/18/2009 12:07:16 AM

d7freestyler
Sup, Brahms
23935 Posts
user info
edit post

not a chance in hell.

lol.

6/18/2009 12:07:51 AM

qntmfred
retired
42179 Posts
user info
edit post

Quote :
"Or perhaps something nice and simple like a Mobius loop."


that's what i have on my foot. and my wife's name in binary across my rib. and then this on my back



and my next one will either be the heisenberg one on my shoulders or this on my leg

6/18/2009 12:08:12 AM

 Message Boards » Chit Chat » need help with tattoo idea Page [1] 2, Next  
go to top | |
Admin Options : move topic | lock topic

© 2026 by The Wolf Web - All Rights Reserved.
The material located at this site is not endorsed, sponsored or provided by or on behalf of North Carolina State University.
Powered by CrazyWeb v2.39 - our disclaimer.